Intrinsic Calibration
Ensure Absolute Precision in Vision AI Systems
In Vision-AI systems, cameras are not just for capturing images, they are critical sensors for spatial measurement. However, due to the physical nature of optics, every camera introduces distortion that can affect accuracy. At oToBrite, we understand that the transition from a 2D image to 3D environmental perception requires absolute geometric precision. Intrinsic calibration is the key to correcting these optical variations and enabling reliable perception. It provides the necessary technical foundation to ensure that every pixel translates accurately into real-world coordinates.
Why Intrinsic Calibration is Essential
Correct Physical Lens Variations
Every camera lens possesses unique physical characteristics and microscopic tolerances. The glass thickness, curvature, and the exact alignment of the optical center relative to the CMOS sensor vary across every unit produced. Without precise intrinsic calibration, these variables introduce "optical noise" that can compromise the safety and performance of Vision-AI systems.
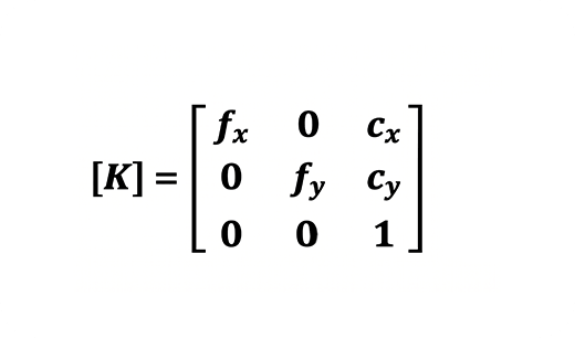
Intrinsic calibration defines the camera’s internal optical parameters, including:
- Focal length (fx, fy)
- Optical center (cx, cy)
- Lens distortion characteristics


Enhance Reliability in Spatial Measurement
Failure to implement precise intrinsic calibration leads to a cascade of technical inaccuracies that directly compromise system reliability. Without these parameters, the camera cannot accurately map pixel coordinates to real-world geometry, resulting in significant errors in distance estimation and depth perception. In multi-camera configurations, such as 360° Surround View or AVM systems, uncalibrated lenses produce misaligned stitching and warped visual artifacts. Ultimately, these geometric distortions degrade the overall performance of AI perception algorithms, potentially leading to critical failures in object detection and autonomous navigation.
High-Precision Intrinsic Calibration
To provide our partners with mission-critical vision data, oToBrite operates a state-of-the-art calibration environment designed to meet the rigorous demands of autonomous driving and robotics applications.
Comprehensive Environment Setting
Our calibration facility is optimized for a wide range of optical configurations, ensuring that whether your system uses a wide-angle surround-view camera or a long-range ADAS sensor, the results are consistent.
- Flexible Operating Range: We support a maximum distance of up to 8 meters from the camera to the calibration chart, meticulously adjusted based on the specific Field of View (FOV) of each camera module.
- Standardized Compatibility: We utilize and support OpenCV-compatible intrinsic parameters, ensuring seamless integration with global computer vision frameworks and Edge AI platforms.


Industry-Leading Calibration Accuracy
Accuracy is measured by Re-projection Error, the distance between a projected 3D point and its corresponding 2D pixel on the image plane. oToBrite achieves sub-pixel precision across various lens types.